公文名称: 云南省住房和城乡建设厅关于2025年云南省建筑业企业第29批(延续第21批)资质审查结果公示
索 引 号:
分 类:
发文单位: 云南省住房和城乡建设厅
发文日期: 2025-06-27
文 号: /
主 题 词:
实施日期: 2025-06-25
废止日期: 2025-07-01
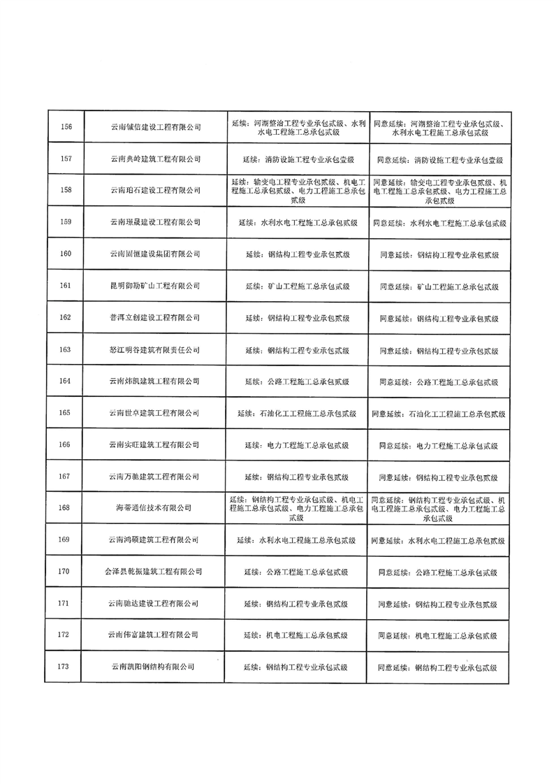
云南省住房和城乡建设厅关于2025年云南省建筑业企业第29批(延续第21批)资质审查结果公示














云南省住房和城乡建设厅关于2025年云南省建筑业企业第29批(延续第21批)资质审查结果公示














