公文名称: 云南省住房和城乡建设厅关于2025年云南省建筑业企业第47批(延续第35批)资质审查结果公示
索 引 号:
分 类:
发文单位: 云南省住房和城乡建设厅
发文日期: 2025-10-13
文 号: 云建审公示〔2025〕36号
主 题 词:
实施日期: 2025-10-13
废止日期: 2025-10-17
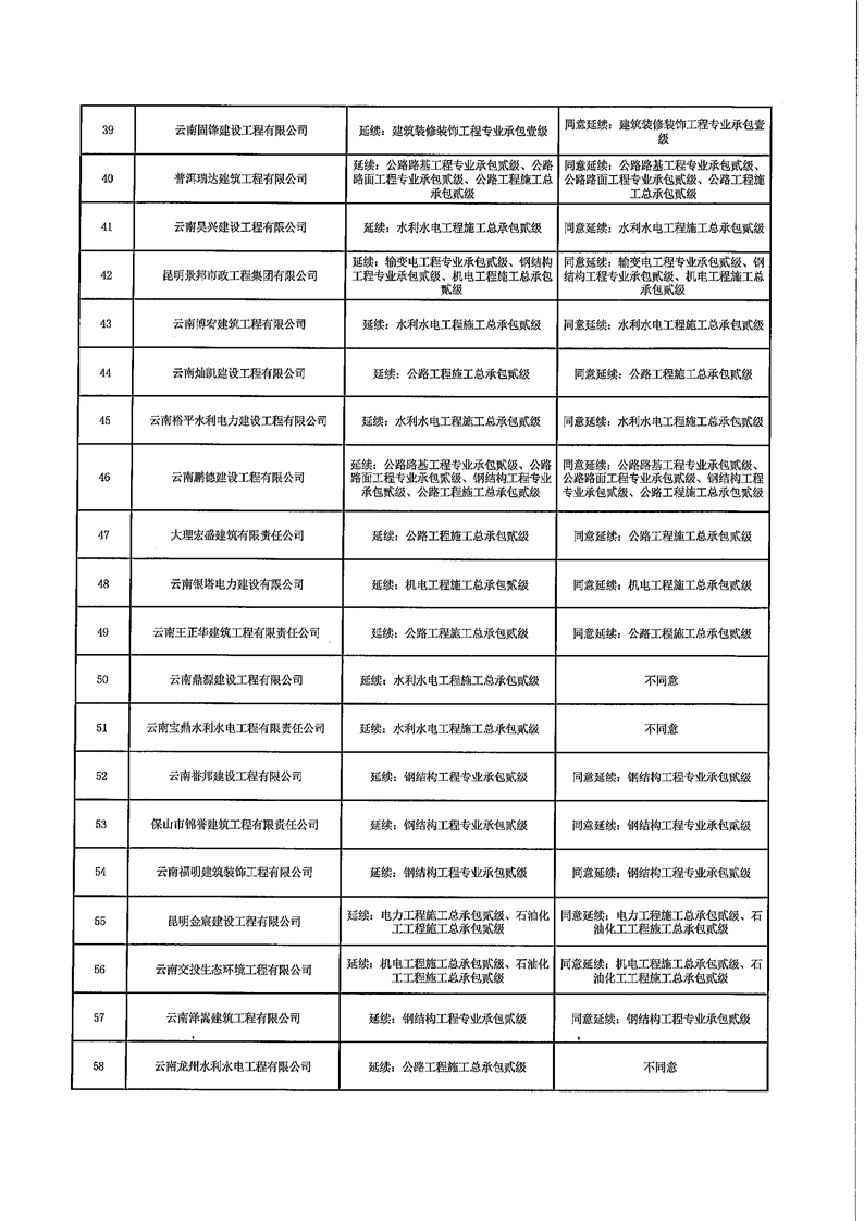
云南省住房和城乡建设厅关于2025年云南省建筑业企业第47批(延续第35批)资质审查结果公示







云南省住房和城乡建设厅关于2025年云南省建筑业企业第47批(延续第35批)资质审查结果公示







